Dass Computer im Binär- (oder Zweier-) System rechnen, liegt keineswegs daran, dass „Strom“ nur zwei Zustände (nämlich „fließt“ und „fließt nicht“) kennt – wer das glaubt, verwechselt das Prinzip mit seiner Umsetzung. Der Grund ist vielmehr, dass das Rechnen im Binärsystem extrem einfach ist. Denn es reduziert Addition und Multiplikation auf Operationen der „Booleschen Algebra“, benannt nach dem englischen Mathematiker George Boole (1815-1864) und seinem Logikkalkül aus dem Jahr 1847. So lassen sich Multiplikationen als logische UND-Verknüpfung und Additionen als (eXklusive) ODER-Verknüpfung verstehen – Operationen, die sich in unterschiedlichen Repräsentationen eines binären Systems sehr leicht umsetzen lassen.
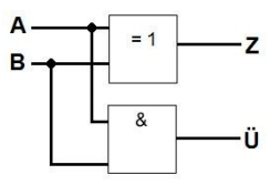
Hat man UND- und XOR-Operatoren, dann lässt sich ein Addierer mit Übertrag („Halbaddierer“ genannt) für zwei binäre Eingänge ganz simpel aus einer XOR- und einer UND-Verknüpfung bilden. Einen „Volladdierer“ für zwei mehrstellige Binärzahlen erhält man dann durch die Kombination mehrerer Halbaddierer.
Die „logischen Gatter“ UND und XOR kann man nun sehr unterschiedlich „modellieren“, z. B. ganz anschaulich als einen Stromkreis mit zwei Tastern (= Eingänge), in dem die beiden Taster entweder so geschaltet geschaltet werden, dass nur dann Strom fließt, wenn beide gedrückt sind (UND), oder so, dass nur dann Strom fließt, wenn genau einer der beiden gedrückt ist (XOR).
Ersetzt man die Taster durch elektronische Schalter (Relais, Transistoren), dann hat man schon die Grundbestandteile eines modernen Computers vor sich.
Allerdings muss ein Computer keinesfalls nur elektronisch funktionieren – solche Gatter kann man auch mechanisch modellieren. Und das ist – vor allem, da Relais schon lange durch dicht gepackte Halbleitertechnologie verdrängt worden sind – sogar viel anschaulicher, wenn auch langsamer, anfälliger, klobiger und teurer. Vor einigen Jahren hat Thomas Püttmann solche mechanischen Gatter mit fischertechnik gebaut, und kürzlich hat Arnoud van Delden mechanische Gatter mit „Schiebe-Technik“ in der ft:pedia 4/2022 vorgestellt.
Aufbauend auf der Modellierung von Thomas Püttmann, in der die Achsstellungen (die Kurbeln) jeweils einen Zustand „0“ (Kurbel rechts) oder „1“ (Kurbel links) repräsentieren, lässt sich ein Halbaddierer aus einem AND- und einem XOR-Gatter auch mit aktuellen fischertechnik-Rastachsen und Rast-Differentialen konstruieren.






kommentieren